【机情无限 精彩毕设】机械2026届毕业设计(论文)中期检查优秀案例分享第十四期——人工关节摩擦副表面改性设计及其耐磨性能研究
学生姓名:沈晴
班 级:机械2022-05班
指导教师:张亚丽
毕设题目:人工关节摩擦副表面改性设计及其耐磨性能研究

一、概况
1.选题意义
随着人口老龄化加剧及交通损伤增加,人工髋关节的临床需求持续增长。髋关节疾病与损伤显著降低患者生活质量,而人工关节置换术已成为重要且有效的治疗手段。当前,人工髋关节由一体化设计逐步发展为模块化设计。模块化结构可实现材料与尺寸的个性化匹配,提升假体适配性与舒适性,同时便于翻修手术并降低二次手术风险。
典型模块化人工髋关节主要由股骨头、股骨柄、衬垫和髋臼杯构成。其中,Ti6Al4V合金因其高强度、低密度、与骨相近的弹性模量和良好的生物相容性,被广泛用于股骨柄。然而,该材料表面硬度较低、耐磨性不足。在行走、下蹲等各种人体活动下,股骨头与股骨柄的接触界面会发生微米级相对运动,引发人工髋关节头-颈界面的微动磨损,进而改变紧固界面的接触状态,劣化股骨柄的服役性能,甚至引发过敏、骨溶解及假体松动,成为假体翻修与失效的重要原因。因此,提高人工髋关节摩擦副材料的耐磨性具有重要的理论意义与临床实用价值。
表面改性技术是提升Ti6Al4V耐磨性能的有效途径。其中,微弧氧化(MAO)技术作为一种离子体电解氧化方法,具有工艺简单、成本低、可控性强及环保等优势,在轻合金表面防护中备受关注,并已实现产业化应用。该技术通过原位反应在基材表面生成陶瓷涂层,具有高硬度、优异耐磨与耐腐蚀性能,且由于涂层源于基体转化而非外加沉积,界面结合强度高、服役稳定性好。已有研究表明,MAO涂层可显著改善Ti6Al4V的摩擦磨损性能,在抑制微动损伤方面具有潜力。
然而,现有研究多集中于滑动磨损,对MAO涂层的微动磨损行为关注不足;同时,实验参数(如载荷、位移及摩擦介质)与实际人工髋关节服役工况存在偏差,导致研究结果的工程指导意义有限。因此,有必要基于实际服役条件,系统研究MAO处理对Ti6Al4V合金微动磨损行为的影响,为提升人工髋关节界面耐磨性能提供理论依据。
2.任务分解
(1)子任务一:探明MAO涂层的微观结构、成分以及力学性能
合理选取电解液体系,在不同的电解液浓度下、在Ti6Al4V合金表面制备质量可靠的MAO涂层,而后利用扫描电子显微镜(SEM)、X射线衍射仪(XRD)、显微硬度计等多种表征手段与分析方法系统评估MAO涂层表面的微观结构、成分以及力学性能,包括其表面形貌、厚度、化学成分及显微硬度,并与未处理的Ti6Al4V基体进行对比。
(2)子任务二:探究电解液浓度对MAO涂层摩擦学性能的影响
电解液浓度会影响涂层的微观结构、成分与力学性能,最终决定涂层的摩擦学性能,为至关重要的加工参数。在子任务一基础上,结合人工髋关节头-颈界面实际服役状态,合理设置位移、荷载等关键参数,在模拟体液环境下,开展微动磨损实验,全面探究不同电解液浓度下Ti6Al4V合金MAO涂层的微动磨损行为,探究最优电解液浓度,最终揭示电解液对MAO涂层摩擦学性能的影响机理,并构建“电解液浓度-MAO涂层微观结构与成分-摩擦学性能”的内在联系。
(3)子任务三:探究不同人工髋关节摩擦配副下MAO涂层的摩擦学行为
人工髋关节股骨头-股骨柄关节面的材料配副可以分为金属对金属以及陶瓷对金属。其中,CoCrMo合金和氧化锆增韧氧化铝(ZTA)陶瓷为广泛应用于股骨头的两种材料。患者可以根据经济条件、个体差异以及偏好选取不同的股骨头材料。本任务将依据子任务二中的成果,在最优电解浓度下,探究与股骨头材料CoCrMo合金和ZTA陶瓷配副下钛合金MAO涂层的微动磨损行为,对比两种配副的摩擦学性能差异,为MAO技术的后续潜在应用与人工髋关节头-颈界面的防护提供参考。
二、已完成工作
1. 文献调研与外文翻译:完成人工关节摩擦副、Ti6Al4V合金表面改性、MAO技术及微动磨损方向的中英文文献调研(以近5年为主),梳理现有研究的两大不足——鲜少关注微动磨损、实验参数未结合实际服役条件,明确本课题研究切入点;完成开题报告撰写并通过指导教师审核,按要求完成外文翻译及指导纪要的规范记录。
2. 试样MAO涂层制备:获得标准试样;确定铝酸钠为核心电解液体系,设计2g/L、4g/L、6g/L、8g/L四种浓度梯度,成功在Ti6Al4V合金表面制备出不同浓度的MAO陶瓷涂层,完成样品编号与初检,涂层无明显宏观剥落、开裂等缺陷。
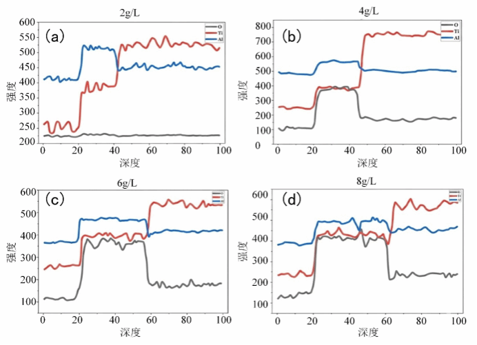
3. 涂层微观结构、成分与力学性能:利用SEM完成四种浓度涂层的表面形貌及3D形貌分析,明确不同浓度下涂层的结构特征、缺陷情况及表面起伏规律;通过XRD完成涂层物相分析,确定所有涂层均由TiO₂(金红石+锐钛矿)、Al₂O₃、Al₂TiO₅组成且无杂质相,解析了不同浓度下物相比例的变化规律;采用EDS完成涂层截面元素成分分析,获得O、Al、Ti元素的深度分布特征,分析出不同浓度涂层总厚度(约22μm),验证涂层核心硬质相为化学计量比稳定的Al₂O₃。
图1 涂层表面SEM图:(a) 2g/L铝酸钠电解液中生成的MAO涂层; (b) 4g/L铝酸钠电解液中生成的MAO涂层; (c) 6g/L铝酸钠电解液中生成的MAO涂层;(d) 8g/L铝酸钠电解液中生成的MAO涂层。
图2 涂层表面3D形貌图:(a) 2g/L铝酸钠电解液中生成的MAO涂层; (b) 4g/L铝酸钠电解液中生成的MAO涂层; (c) 6g/L铝酸钠电解液中生成的MAO涂层;(d) 8g/L铝酸钠电解液中生成的MAO涂层。
图3 XRD图-涂层化学成分
图4 涂层截面EDS元素线扫结果:(a) 2g/L铝酸钠电解液中生成的MAO涂层; (b) 4g/L铝酸钠电解液中生成的MAO涂层; (c) 6g/L铝酸钠电解液中生成的MAO涂层;(d) 8g/L铝酸钠电解液中生成的MAO涂层。
4. 涂层力学性能测试与分析:完成Ti6Al4V基材及四种浓度MAO涂层的表面显微硬度测试,结果表明,涂层硬度随电解液浓度升高呈持续稳步增长,且涂层硬度较基材提升了71%-164%;测试并分析了不同浓度MAO涂层的表面粗糙度,明确其随浓度呈“低-高-中-高”的非线性波动规律(2g/L最低、8g/L最高、6g/L适中)。
图5 涂层表面显微硬度 图6 涂层表面粗糙度
5. 阶段性成果整理与论文撰写:完成第三章《MAO涂层的微观结构、成分与力学性能》初稿的撰写,通过多表征手段交叉验证,综合确定6g/L铝酸钠为制备MAO涂层的最优电解液浓度,该浓度下涂层兼具均匀致密的多孔结构、均衡的物相组成、较高的显微硬度及适中的表面粗糙度,适配人工关节的服役状态。
三、下一步工作计划
1. 完善现有数据与图表规范:对所有表征图片的标尺、标注、排版,按指导教师意见修改完善。
2. 开展微动磨损核心实验:结合人工髋关节头-颈界面实际服役条件,设定合理的载荷、振幅、频率及循环次数,完成四种浓度MAO涂层在模拟体液环境下的微动磨损实验;实时记录摩擦系数曲线,计算磨损率,通过SEM观察磨痕微观形貌,分析不同浓度涂层的微动磨损机理。
3. 数据分析与机理探讨:整理微动磨损实验数据,构建“电解液浓度-MAO涂层微观结构与成分-摩擦学性能”的内在关联,深入分析电解液浓度调控MAO涂层微动磨损行为的核心机理;并提出人工关节摩擦副表面改性的工艺优化建议。
4. 开展不同摩擦配副的性能研究:采用最优电解液浓度制备MAO涂层试样,开展与CoCrMo、ZTA两种股骨头材料配副的微动磨损实验,对比两种配副的摩擦系数、磨损率及磨痕特征,分析配副材料对MAO涂层摩擦学性能的影响。
5. 完成论文撰写与答辩准备:完成毕业论文撰写,并按学校要求规范排版;制作答辩PPT,梳理创新点及研究不足等,进行汇报演练,做好答辩准备。
问题一:铝酸钠溶液在本课题中的作用是什么?
回答:铝酸钠溶液是微弧氧化实验中的电解液,主要作用为提供稳定的铝源、调节电解液的导电性,促进微弧氧化反应顺利进行,有利于在基体表面生成均匀、致密的陶瓷层,其浓度对膜层结构具有重要影响。
问题二:论文题目是人工关节摩擦副表面改性设计及其耐磨性能研究,请阐述你目前完成的表征工作与表面改性研究之间的关联。
回答:已完成的表征工作主要用于验证微弧氧化(MAO)表面改性的有效性。通过SEM分析涂层形貌、EDS表征元素组成,并结合表面粗糙度与硬度测试,确认在Ti6Al4V合金表面成功构建了预期的功能涂层。后续将结合磨损实验评价其耐磨性能,完成“改性工艺→涂层结构→耐磨性能”的完整研究逻辑链。
通过本次毕业设计中期答辩,我对人工关节摩擦副表面改性设计及其耐磨性能研究课题的研究思路有了更清晰的把握,进一步理解了电解液在微弧氧化中的关键作用,也明确了表征测试与表面改性研究之间的内在联系。答辩过程让我认识到,前期的形貌、成分、硬度等表征工作,是验证涂层制备效果、为后续微动磨损实验奠定基础的重要环节。在老师们的提问与指导下,我不仅巩固了专业知识、提升了学术表达能力,也发现了现阶段研究中的不足,更加明确了后续实验推进与论文完善的方向。今后我会以更严谨的态度完成剩余工作,不断提升科研素养与综合能力,确保高质量完成毕业设计。